2021 수능 등급컷
작성자 정보
- 부동산 작성
- 작성일
컨텐츠 정보
- 359 조회
- 0 추천
-
목록
본문
2021 수능 등급컷
2021 수능 등급컷
2021 수능 등급컷 - 현황
오늘 드디어 수능 등급컷 최종 확정된 버전이 공유되었습니다. 최종 본인의 점수가 23일 발표되니 점수와 본인의 등급컷을 확인하시면 좋을것 같네요. 좋은 결과 나와서 본인이 원하는 대학교에 합격할수 있었으면 좋겠습니다.
2021년 총 421,034 명의 학생이 수학능력시험을 치렀고, 그중에 295,116 명의 학생과 125,918 명의 졸업생 (시험 포함)이 였습니다.
국어영역 419,785 명, 수학 139,429명, 수학 B 267,483명, 영어는 419,031명, 한국사 421,034명, 사회 218,154명, 과학탐구 187,987명, 직업탐구 4,123명, 제 2 외국어 /한문 54,85 1 명. 사회 과학 분야에서 2 과목을 선택한 학생은 전체 지원자의 99.7 %와 99.9 %를 차지했으며, 대부분의 지원자는 2과목, 즉 가장 많은 수의 선택 과목을 선택했습니다.
각 영역을 1등급, 2등급으로 구분 한 기준 점수는 다음과 같습니다.
국어 영역은 들어 보면 131 점입니다.
수학의 경우 가형 130 점, 나형는 131 점입니다.
사회 탐구 영역의 경우 과목에 따라 63 ~ 67점입니다.
과학 탐구의 경우, 점수는 주제에 따라 62 점에서 68 점까지 나타났네요.
직업탐구 영역에서는 과목에 따라 점수가 65 ~ 70 점입니다.
제 2 외국어 / 한문영역의 점수는 과목에 따라 65 ~ 81 점입니다.
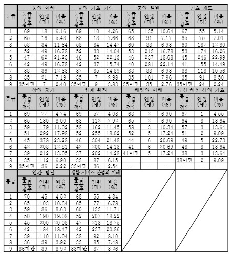
<표 II-1>은 국어 영역 별 등급 분류 기준 점수와 인원 비율을 정리 한 것입니다.
1등급과 2등급의 등급 분류 기준 점수는 131 점입니다.
국어, 수학 A / B, 영어 분야 지원자의 분야별 비율은 다음과 같습니다. 국어의 경우 사회 분야 지원자의 51.8 %, 과학 분야 지원자의 44.7 %를 선택했습니다.
수학에서는 사회 탐구 분야 지원자 비율이 1.0 %, 과학 탐구 분야 지원자 비율이 97.2 %입니다.
사회 탐구 분야 지원자 비율은 76.8 %, 과학 탐구 분야 지원자 비율은 19.4 %였습니다. 영어를 선택한 사회 분야 지원자 비율은 51.8 %, 과학 조사 분야 지원자 비율은 44.8 %입니다.
아래 점수 알림 표에는 각 유형 및 주제에 대한 표준 점수, 백분위 및 등급을 표시합니다.
수학의 경우 표시 형 (A / B), 탐구 영역과 제 2 외국어 / 한문 영역의 경우 분류 기준이 함께 표시됩니다.
국어 및 수학 분야의 경우 표준 점수는 평균 100 점, 표준 편차는 20 점으로 환산합니다.
수학 및 제 2 외국어 / 중국어 분야의 경우 표준 점수는 평균 50 점, 표준 편차는 10 점입니다.
영어, 한국사의 경우 절대 평가에 따른 성적 만 표시됩니다.
코로나로 힘들었던 2020년은 뒤로 하고 2021년에는 대학교 신입생으로
즐거운 일만 있으세요. 핸드폰 사용, 폰으로 작성했습니다PASS
2021 수능 등급컷 - 국어 영역
이제 과목별 영역 등급 구분 표준 점수 및 등급별 인원 비율 등급 컷 점수도 같이 알려드릴게요.
2021 수능 등급컷 - 수학영역
2021 수능 등급컷 - 영어영역
2021 수능 등급컷 - 한국사 영역
2021 수능 등급컷 - 사회탐구 영역
2021 수능 등급컷 - 과학 탐구 영역
2021 수능 등급컷 - 직업탐구
2021 수능 등급컷 - 제2 외국어 /한문 영역
이상으로 2021 수능 등급컷에 대해서 알려 드렸습니다. 열심히 준비한 만큼 좋은 결과가 있기를 기원합니다. 파이팅 입니다.PASS
2021 수능 등급컷 답안
2020 11월 고1 모의고사 등급컷 답안
2020 10월 모의고사 등급컷 과 답안
2020 10월 고3 모의고사 등급컷 답지
관련자료
-
링크
-
이전
-
다음